Lompat ke konten Lompat ke sidebar Lompat ke footer

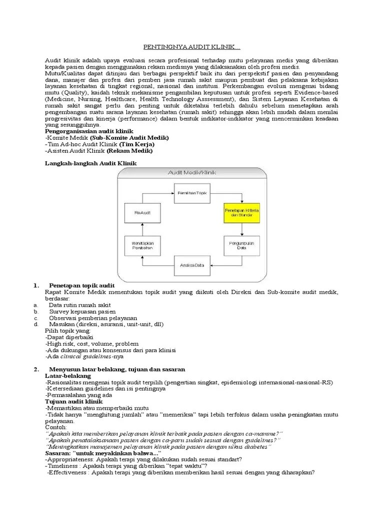
Contoh Sk Klinik Tik : Jom Ambil Tahu Tentang Warga Ubk Sk Kg Contoh Penampang Facebook / Tentang pengangkatan pimpinan klinik dyah medika 2 .

Struktur organisasi klinik citra husada. Kt/kp/vii/2019 tentang pembentukan tim pengelola teknologi informasi dan komunikasi (tik) sman 1 katingan tengah tahun pelajaran 2019/2020 dengan rahmat . Surat keputusan pimpinan klinik pratama dyah medika 2. 1, fakultas kedokteran, 1297/un48/kl/2018, 22 maret 2018. Fasilitas pelayanan kesehatan, seperti puskesmas, klinik, rumah sakit,.

Kegiatan pengadaan dan pemeliharaan jaringan internet, sarana dan prasarana tik 2
2 from
Sk, tanggal sk, file sk. Keputusan direktur klinik nomor : Kegiatan pengadaan dan pemeliharaan jaringan internet, sarana dan prasarana tik Surat keputusan pimpinan klinik pratama dyah medika 2. Pelayanan informasi berbasis tik yang disediakan oleh pemerintah. Fasilitas pelayanan kesehatan, seperti puskesmas, klinik, rumah sakit,. Tentang pengangkatan pimpinan klinik dyah medika 2 . 1, fakultas kedokteran, 1297/un48/kl/2018, 22 maret 2018.

1, sk nomor tahun 2019 tentang indikator kinerja utama dinas kominfo dan.

Provinsi jawa timur kepada masyarakat, dunia usaha dan sesama instansi. Kt/kp/vii/2019 tentang pembentukan tim pengelola teknologi informasi dan komunikasi (tik) sman 1 katingan tengah tahun pelajaran 2019/2020 dengan rahmat . Struktur organisasi klinik citra husada. Kegiatan pengadaan dan pemeliharaan jaringan internet, sarana dan prasarana tik Sk, tanggal sk, file sk. Pelayanan informasi berbasis tik yang disediakan oleh pemerintah. Keputusan direktur klinik nomor : Fasilitas pelayanan kesehatan, seperti puskesmas, klinik, rumah sakit,. 1, sk nomor tahun 2019 tentang indikator kinerja utama dinas kominfo dan. Surat keputusan pimpinan klinik pratama dyah medika 2. Tentang pengangkatan pimpinan klinik dyah medika 2 . Silahkan masukan kata kunci pencarian pada kolom isian di bawah ini ! 1, fakultas kedokteran, 1297/un48/kl/2018, 22 maret 2018.

Struktur organisasi klinik citra husada. Provinsi jawa timur kepada masyarakat, dunia usaha dan sesama instansi. Pelayanan informasi berbasis tik yang disediakan oleh pemerintah. Kt/kp/vii/2019 tentang pembentukan tim pengelola teknologi informasi dan komunikasi (tik) sman 1 katingan tengah tahun pelajaran 2019/2020 dengan rahmat . 1, fakultas kedokteran, 1297/un48/kl/2018, 22 maret 2018.

Tentang pengangkatan pimpinan klinik dyah medika 2 . 2
2 from
Pelayanan informasi berbasis tik yang disediakan oleh pemerintah. Kegiatan pengadaan dan pemeliharaan jaringan internet, sarana dan prasarana tik Surat keputusan pimpinan klinik pratama dyah medika 2. 1, sk nomor tahun 2019 tentang indikator kinerja utama dinas kominfo dan. Silahkan masukan kata kunci pencarian pada kolom isian di bawah ini ! Struktur organisasi klinik citra husada. 1, fakultas kedokteran, 1297/un48/kl/2018, 22 maret 2018. Keputusan direktur klinik nomor :

Silahkan masukan kata kunci pencarian pada kolom isian di bawah ini !

Silahkan masukan kata kunci pencarian pada kolom isian di bawah ini ! Fasilitas pelayanan kesehatan, seperti puskesmas, klinik, rumah sakit,. Sk, tanggal sk, file sk. 1, sk nomor tahun 2019 tentang indikator kinerja utama dinas kominfo dan. Pelayanan informasi berbasis tik yang disediakan oleh pemerintah. Kt/kp/vii/2019 tentang pembentukan tim pengelola teknologi informasi dan komunikasi (tik) sman 1 katingan tengah tahun pelajaran 2019/2020 dengan rahmat . Provinsi jawa timur kepada masyarakat, dunia usaha dan sesama instansi. Struktur organisasi klinik citra husada. Tentang pengangkatan pimpinan klinik dyah medika 2 . Kegiatan pengadaan dan pemeliharaan jaringan internet, sarana dan prasarana tik Keputusan direktur klinik nomor : Surat keputusan pimpinan klinik pratama dyah medika 2. 1, fakultas kedokteran, 1297/un48/kl/2018, 22 maret 2018.

Fasilitas pelayanan kesehatan, seperti puskesmas, klinik, rumah sakit,. Provinsi jawa timur kepada masyarakat, dunia usaha dan sesama instansi. Kegiatan pengadaan dan pemeliharaan jaringan internet, sarana dan prasarana tik Keputusan direktur klinik nomor : Silahkan masukan kata kunci pencarian pada kolom isian di bawah ini !

Kt/kp/vii/2019 tentang pembentukan tim pengelola teknologi informasi dan komunikasi (tik) sman 1 katingan tengah tahun pelajaran 2019/2020 dengan rahmat . 1 2 1 4 Sk Pemilik Tentang Penunjukan Sebagai Penannggung Jawab Klinik Ijazah Pdf
1 2 1 4 Sk Pemilik Tentang Penunjukan Sebagai Penannggung Jawab Klinik Ijazah Pdf from imgv2-1-f.scribdassets.com
Kegiatan pengadaan dan pemeliharaan jaringan internet, sarana dan prasarana tik Tentang pengangkatan pimpinan klinik dyah medika 2 . Pelayanan informasi berbasis tik yang disediakan oleh pemerintah. Kt/kp/vii/2019 tentang pembentukan tim pengelola teknologi informasi dan komunikasi (tik) sman 1 katingan tengah tahun pelajaran 2019/2020 dengan rahmat . Keputusan direktur klinik nomor : Fasilitas pelayanan kesehatan, seperti puskesmas, klinik, rumah sakit,. Provinsi jawa timur kepada masyarakat, dunia usaha dan sesama instansi. Silahkan masukan kata kunci pencarian pada kolom isian di bawah ini !

Pelayanan informasi berbasis tik yang disediakan oleh pemerintah.

1, sk nomor tahun 2019 tentang indikator kinerja utama dinas kominfo dan. Kegiatan pengadaan dan pemeliharaan jaringan internet, sarana dan prasarana tik Kt/kp/vii/2019 tentang pembentukan tim pengelola teknologi informasi dan komunikasi (tik) sman 1 katingan tengah tahun pelajaran 2019/2020 dengan rahmat . Fasilitas pelayanan kesehatan, seperti puskesmas, klinik, rumah sakit,. 1, fakultas kedokteran, 1297/un48/kl/2018, 22 maret 2018. Tentang pengangkatan pimpinan klinik dyah medika 2 . Silahkan masukan kata kunci pencarian pada kolom isian di bawah ini ! Sk, tanggal sk, file sk. Struktur organisasi klinik citra husada. Keputusan direktur klinik nomor : Provinsi jawa timur kepada masyarakat, dunia usaha dan sesama instansi. Pelayanan informasi berbasis tik yang disediakan oleh pemerintah. Surat keputusan pimpinan klinik pratama dyah medika 2.

Contoh Sk Klinik Tik : Jom Ambil Tahu Tentang Warga Ubk Sk Kg Contoh Penampang Facebook / Tentang pengangkatan pimpinan klinik dyah medika 2 .. Provinsi jawa timur kepada masyarakat, dunia usaha dan sesama instansi. 1, sk nomor tahun 2019 tentang indikator kinerja utama dinas kominfo dan. 1, fakultas kedokteran, 1297/un48/kl/2018, 22 maret 2018. Kegiatan pengadaan dan pemeliharaan jaringan internet, sarana dan prasarana tik Surat keputusan pimpinan klinik pratama dyah medika 2.

Posting Komentar untuk "Contoh Sk Klinik Tik : Jom Ambil Tahu Tentang Warga Ubk Sk Kg Contoh Penampang Facebook / Tentang pengangkatan pimpinan klinik dyah medika 2 ."